Последняя теорема - Фредерик Пол Страница 24
Последняя теорема - Фредерик Пол читать онлайн бесплатно
Довольно забавно, что в это самое время некоторые или все (не в наших возможностях увидеть разницу) великие галакты пытались преподать совершенно иным живым существам примерно такой же урок.
Конечно, эти другие существа не были черепахами, хотя они, как и черепахи, были наделены жестким панцирем и невысоким IQ. Великие галакты пытались научить их пользоваться орудиями труда.
Это была всего лишь одна из многих забот, которые великие галакты сами на себя взвалили. Человек, наверное, расценил бы это как гуманную попытку поднять уровень интеллекта одного из космических народов.
Великие галакты предположили, что если твердопанцирные организмы научатся применять рычаг, крюк и каменный топор, это будет первым шагом к развитию разума. А затем под осторожным руководством существа смогут пойти дальше. И даже подняться до уровня примитивной технологической цивилизации, минуя такие нежелательные отвлекающие моменты, как рабство, эксплуатация наемного труда и война.
Эта программа была рассчитана на долгий, очень долгий срок. Но дефицита времени великие галакты не испытывали и считали, что игра стоит свеч: их труды окупятся, если в далеком будущем хотя бы один из подопечных видов эволюционирует, научится летать в космосе и создавать колонии на других планетах и при этом ему не потребуется осваивать сомнительное мастерство убийц. Великие галакты были невероятно умны и могущественны. Но, как известно, на всякого мудреца довольно простоты.
Праздные деньки
В общем, Ранджит был доволен каникулами. Работа ему досталась легкая, и никто не возражал, когда он приводил с собой четырех «гусят». Дот настояла, чтобы Ранджит нянчился с ними только в те дни, когда ей нужно уйти из дома. Но таких дней набралось не так уж мало. Порой отлучки Дот были связаны с поисками работы, и в этом ей не очень-то везло. Чаще ей приходилось продавать что-нибудь из имущества, чтобы накормить и одеть детей.
Отлучки все учащались, и Ранджит, заметив это, решил, что Дот стала больше ему доверять. Он не имел ничего против. То ли детям действительно было интересно, то ли им хотелось быть вежливыми, но они с удовольствием слушали его рассказы и следили за математическими фокусами. Годы, посвященные теории чисел, не прошли напрасно. Ранджит и его сокурсники научились поистине удивительным играм с числами.
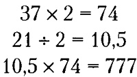
Например, игре под названием «русское крестьянское умножение». Для начала Ранджит выяснил, что в школе умножению успела научиться только Тиффани. Остальным детям он сказал:
— Не огорчайтесь. В старину было много взрослых — между прочим, и в России, — которые тоже не знали, как это делается. Они придумали хитрый способ и назвали его «русским умножением». Делается это вот как. Сначала надо написать рядышком два числа. Допустим, вы хотите умножить двадцать один на тридцать семь.
Ранджит достал из кармана блокнотик, быстро написал числа и показал детям.

— Потом… вы знаете, как увеличить число в два раза? Отлично. Тогда увеличьте в два раза левое число, а правое нужно в два раза уменьшить. Полученные числа запишем под первыми двумя.

— После того как вы поделите пополам правое число, в остатке будет единица, но за нее не переживайте. Просто отбросьте ее. Продолжайте увеличивать и уменьшать вдвое следующие числа до тех пор, пока правое число не станет равно единице.

А когда в правом столбце у вас получается четное число, вы эту строчку целиком вычеркиваете.

А потом надо сложить числа в левом столбце.

Ниже Ранджит победно написал:
21 х 37 = 777
— Вот ответ!
Ему хотелось увидеть реакцию детей. Он получил четыре разных отклика. Малышка Бетси захлопала в ладоши. Она явно ничего не поняла, но порадовалась успеху Ранджита. Рози была довольна, но озадачена. Гарольд нахмурился, а Тиффани вежливо спросила, нельзя ли взять у Ранджита ручку и блокнот. Она стала что-то писать на листке, а Ранджит заглянул ей через плечо.

— Да, — сообщила Тиффани. — Все правильно. Ранджит, дай мне еще какие-нибудь два числа.
Он предложил ей нетрудный пример: восемь помножить на девять. Эту задачку вызвался решить и Харольд. Мальчик был готов еще поиграть в «русское умножение», но младшим девочкам, похоже, это занятие надоело, и Ранджит решил в следующий раз объяснить, почему «русское умножение» является примером бинарной арифметики. Довольный успехом своего первого урока по теории чисел, он сказал детям:
— Отлично. А теперь давайте половим черепах.
Гамини Бандара прилетел на Шри-Ланку, как и собирался, но, позвонив Ранджиту, рассыпался в извинениях. У него, дескать, времени совсем в обрез, и приехать в Тринкомали он никак не может, так что не согласится ли Ранджит наведаться в Коломбо?
Ранджит немного обиделся и не сумел этого полностью скрыть.
— Ну, не знаю, получится ли отпроситься с работы, — проворчал он.
Но Гамини продолжал уговаривать, и в итоге бригадир на стройплощадке позволил Ранджиту взять столько выходных, сколько он пожелает. У бригадира был шурин, готовый занять место Ранджита на время его отсутствия. К удивлению юноши, отец не огорчился из-за возвращения Гамини и даже предложил помощь.
— На автобусе? — переспросил он. — Нет, сынок, конечно, ты поедешь не на автобусе. У меня есть мини-вэн, а я им совсем не пользуюсь. Возьми его, Ранджит. Катайся на здоровье. Может быть, эмблема храма на дверце образумит хулиганов, и они не станут прокалывать шины.
Вот так Ранджит приехал в Коломбо на мини-вэне, на заднем сиденье которого лежал рюкзак с запасом чистой одежды на несколько дней. Гамини сообщил ему о том, что остановится в отеле, а не в родительском доме. Почему Гамини выбрал именно эту гостиницу, Ранджит догадывался: в ней был бар, который юноши частенько посещали во время своих прогулок по городу. Но все же было странно, что отец позволил Гамини поселиться отдельно. Когда Ранджит попросил в холле, чтобы о его приходе Гамини известили, администратор покачал головой и указал на бар. И точно, друг оказался в баре, причем не один. По обе стороны от него сидели девушки, а в бутылке на столике почти не оставалось вина.
Все трое встали, чтобы поприветствовать Ранджита. Блондинку звали Пру, а у Мэгги волосы были цвета губной помады — человеческим генам нипочем не создать такой цвет.
Жалоба
Напишите нам, и мы в срочном порядке примем меры.
Комментарии