Просвещение продолжается. В защиту разума, науки, гуманизма и прогресса - Стивен Пинкер Страница 32
Просвещение продолжается. В защиту разума, науки, гуманизма и прогресса - Стивен Пинкер читать онлайн бесплатно
Ознакомительный фрагмент
К счастью, с начала 1990-х необходимые для изобилия предварительные условия начали складываться на все большей части планеты. Когда секреты производства огромного количества еды уже раскрыты, а инфраструктура, необходимая для его транспортировки, уже создана, для победы над голодом нам остается побороть бедность, войны и автократические режимы. Давайте взглянем, какого прогресса мы достигли в противодействии каждому из этих бичей человечества.
Достаток
«У нищеты нет причин, – писал экономист Питер Бауэр. – Причины есть у достатка». В мире, где правят энтропия и эволюция, улицы не вымощены булками, а вареная рыба не прыгает нам под ноги. Однако эту прописную истину легко забыть, решив, будто богатство было у нас всегда. Историю пишут не столько победители, сколько богачи – та крупица человечества, которая обладает временем и образованием, чтобы ее писать. Экономист Натан Розенберг и правовед Лютер Бердзелл напоминают:
О подавляющем преобладании нужды в прошлые времена мы забываем в первую очередь по милости литературы, поэзии, рыцарских романов и легенд, героями которых становятся те, кто прекрасно жил, тогда как прозябавшие в нищете оказываются забыты. В итоге у нас складывается мифологизированное представление о нищих эпохах – иногда они даже кажутся золотыми временами идиллической простоты. Это неправда [208].
Норберг позаимствовал у Броделя картины той эпохи, когда определение бедности было простым: «Если ты можешь купить хлеба, чтобы прожить еще один день, ты не бедный»:
В богатой Генуе бедняки каждую зиму продавали себя в рабство на галеры. В Париже самых нищих заковывали в цепи по двое и заставляли выгребать сточные канавы. В Англии беднота искала спасения в работных домах, где они трудились целыми днями практически задаром. Иногда им поручали дробить на удобрения кости собак, лошадей и скота, пока в 1845 году инспекторы не обнаружили, что голодные работники дрались за право высасывать костный мозг из тухлых костей [209].
Другой историк, Карло Чиполла, писал:
В доиндустриальной Европе покупка одежды или ткани для одежды оставалась роскошью, которую обычные люди могли себе позволить несколько раз в жизни. Одной из главных забот работников больниц было следить, чтобы одежда усопших доставалась их законным наследникам, а не была украдена. Во время эпидемий чумы городским властям приходилось силой изымать и сжигать одежду умерших: люди дожидались смерти зараженных, чтобы забрать их платье, что обычно приводило к дальнейшему распространению болезни [210].
Необходимость объяснять возникновение достатка неочевидна для нас и из-за кипящих в современных обществах политических дебатов о способах распределения богатств, что подразумевает, будто подходящее для распределения богатство есть у нас по умолчанию. Экономисты говорят о «заблуждении о неизменном объеме», или «физическом заблуждении», – предположении, что ограниченный объем богатств существовал в мире с начала времен, словно золотая жила, и все это время люди только и делали, что пытались его между собой поделить [211]. Одно из достижений Просвещения как раз и заключается в осознании, что богатство создается [212]. Главным образом оно создается за счет знаний и сотрудничества: целые сети людей организуют материю в маловероятные, но полезные конфигурации, объединяя плоды своего труда и изобретательности. Отсюда следует не менее радикальный вывод: мы можем разобраться, как создавать больше богатства.
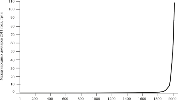
Огромную продолжительность периода господства бедности и переход к современному изобилию можно проиллюстрировать простым, но поражающим воображение графиком. Он показывает, как на протяжении двух тысяч лет менялся валовой мировой продукт – стандартный показатель создания богатства – в международных долларах 2011 года. (Международный доллар – условная валюта, равная доллару США за определенный год, с поправкой на инфляцию и паритет покупательной способности. Последний отвечает за соотношение цен на сопоставимые товары и услуги в разных странах, например за тот факт, что постричься в Дакке дешевле, чем в Лондоне.)
Рост благосостояния на протяжении человеческой истории, показанный на рис. 8–1, можно описать так: ничего… ничего… ничего… (повторять несколько тысяч лет)… бабах! Спустя тысячелетие после первого года нашей эры мир был едва ли богаче, чем во времена Христа. Потребовалось еще полтысячелетия, чтобы мировой продукт удвоился. В некоторых регионах периодически происходили всплески, но они не приводили к стабильному, кумулятивному росту. И только с XIX века начался невиданный подъем. С 1820 до 1900 года мировой доход увеличился в три раза. Еще в три раза – за следующие пятьдесят с небольшим лет. И еще в три – за следующие двадцать пять, и еще в три – за следующие тридцать три. На данный момент валовой мировой продукт вырос почти в сто раз со времен промышленной революции и почти в двести раз – с начала эпохи Просвещения. В дебатах о распределении богатств часто используется образ пирога: делить ли нам пирог или печь пирог побольше (как невпопад сформулировал Джордж Буш-младший, «повышать пирог»). Так вот, если пирог, который делили в 1700 году, был испечен в стандартной 22-сантиметровой форме, то сегодняшняя форма имеет больше трех метров в диаметре. Если бы мы с хирургической сноровкой отрезали от этого пирога наименьший возможный кусочек, скажем в пять сантиметров в самом широком месте, он был бы равен по весу всему пирогу 1700 года.

РИС. 8–1. Валовой мировой продукт, 1–2015
Источник: Our World in Data, Roser 2016с, на основании данных Всемирного банка и Ангуса Мэддисона, Maddison Project 2014
На самом деле валовой мировой продукт как показатель сильно недооценивает рост благосостояния [213]. Каким образом можно на протяжении многих веков учитывать суммы в некой валюте вроде доллара или фунта так, чтобы построить единую кривую на графике? Сто долларов в 2000 году – это больше или меньше одного доллара в 1800-м? Это просто куски бумаги с цифрами; их ценность определяет то, что на них можно купить, а это зависит от инфляции и ревальваций. Единственный способ сравнить один доллар в 1800 году и один доллар в 2000 году – это посмотреть, во сколько человеку обходилась стандартная корзина товаров: фиксированное количество еды, одежды, медицинских услуг, топлива и так далее. Именно таким образом приведены к единому показателю вроде «международных долларов 2011 года» цифры на рис. 8–1 и на всех прочих графиках, где в качестве единицы измерения выступает доллар или фунт.
Жалоба
Напишите нам, и мы в срочном порядке примем меры.
Комментарии