Логика случая. О природе и происхождении биологической эволюции - Евгений Кунин Страница 25
Логика случая. О природе и происхождении биологической эволюции - Евгений Кунин читать онлайн бесплатно
Ознакомительный фрагмент
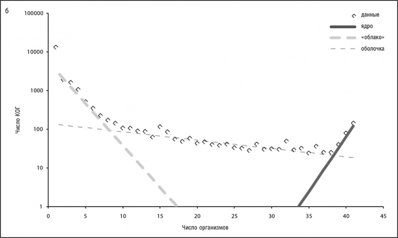
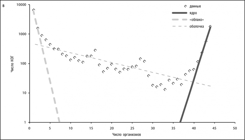
2. Умеренно консервативная генная оболочка состоит из КОГ, представленных в самых разнообразных геномах, но не в подавляющем их большинстве. Недавний анализ имеющихся прокариотических геномов дает число КОГ оболочки около 5000. Гены оболочки составляют большую часть числа генов в любом геноме (см. рис. 3-14).
3. Малоконсервативное «облако» состоит из КОГ, встречающихся в узких группах организмов, и «генов-сирот» — генов в открытых рамках считывания (ОРС), обнаруженных пока что в одном-единственном геноме, но гомологи которых обычно обнаруживаются во вновь появляющихся геномных данных. Гены «облака» составляют переменную долю в каждом геноме, обычно в интервале 10–30 процентов от общего числа генов (см. рис. 3-14).
Примечательно, что эта структура является самоподобной, или фрактальной: те же три компонента — крошечное ядро, сравнительно большая оболочка и огромное «облако» — проявляются на любом уровне, где бы ни рассекалось генное пространство-время, от всего мира прокариот и до узких групп бактерий (см. рис. 3-14). Мы возвратимся к последствиям этой фрактальности геномного пространства-времени прокариот в главе 5. Заметим, однако, что эволюционная модель, которая объясняла бы наблюдаемую фрактальность, еще ожидает своей разработки [36].

Рис. 3-13 а. Глубокий уровень: 338 прокариот из базы данных EggNOG (Jensen et al., 2008)

Рис. 3-13 б. Средний уровень: 41 архей из базы данных arCOG (Makarova et al., 2007b)

Рис. 3-13 в. Мелкий уровень: 44 вида Escherichia, Shigella и Salmonella из базы данных COG (Tatusov et al., 2003). Регрессия данных экспоненциальными функциями на всех трех рисунках (Koonin and Wolf, 2008b) изображена пунктирными и непрерывными линиями.

Рис. 3-14. Вклад ядра, оболочки и «облака» в состав индивидуальных геномов и генной вселенной как целого. Расчет произведен по данным из базы EggNOG (Jensen et al., 2008). A. fulgidus — архея Archaeoglobus fulgidus; B. subtilis — бактерия Bacillus subtilis.
Следует обратить внимание на кажущийся парадокс в распределении КОГ в генном пространстве. Хотя в каждом геноме большинство генов относятся к оболочке, то есть являются общими с дальнородственными организмами, при рассмотрении всей генной вселенной оказывается, что гены (или, вернее, КОГ) ядра и оболочки составляют лишь незначительное меньшинство (см. рис. 3-14). Вполне очевидно, что эта разница возникает потому, что КОГ оболочки представлены во многих геномах, в то время как КОГ «облака», особенно «гены-сироты», являются редкими или уникальными. С учетом этой характерной структуры вселенной генов эволюционные реконструкции неизбежно приводят к картине динамичной эволюции генома, где многочисленные гены (в основном из «облака» и, в меньшей степени, из оболочки) утрачиваются, а многие другие приобретаются путем ГПГ (в основном у прокариот), а также в результате многочисленных дупликаций, в первую очередь у эукариот (см. ниже в этой главе).
Элементарные события геномной эволюции
Теперь, определив единицы геномной эволюции и разработав идею организации вселенной генов, мы можем осмысленно дополнить эти понятия списком основных операций, элементарных событий эволюции генома, которые можно будет сравнить с элементарными событиями эволюции отдельных генов. Алфавиты элементарных событий довольно кратки и фактически подобны (изоморфны) на соответствующих уровнях (см. табл. 3-3). Однако относительный вклад и частота различных типов событий разнятся в эволюции генов и геномов самым коренным образом. Существенное различие между эволюцией отдельных генов и целых геномов заключается в особой важности и высокой частоте дупликации генов, в отличие от много более ограниченного вклада внутригенных дупликаций. Далее, внутригенные рекомбинации редко закрепляются в эволюции, за исключением близких геномов, а важнейшие механизмы перестройки генома, такие как инверсии и транслокации, не играют особой роли в эволюции отдельных генов. В итоге различия в относительном вкладе разнообразных элементарных механизмов (см. табл. 3-2) лежат в основе значительно более динамичного характера эволюции геномов по сравнению с эволюцией отдельных генов.
Таблица 3-3
Сравнение элементарных событий эволюции гена и генома

Краткий обзор главы
Сравнительная геномика раскрывает примечательный контраст между относительной эволюционной устойчивостью отдельных генов, многие из которых сохраняют значительное сходство на протяжении сотен миллионов или даже миллиардов лет эволюции, и пластичностью состава и архитектуры генома, которые изменяются на несколько порядков быстрее. Отсюда возникает характерное устройство вселенной генов, в котором сравнительно небольшое число плотных кластеров образуют ядро, гены которого представлены в большинстве геномов, в то время как большую часть пространства-времени занимает огромное количество все более разреженных «туманностей», состоящих из редких генов. Поразительно, что организация генетической вселенной явственно фрактальна, то есть проявляется на всех масштабах эволюционных расстояний.
Атомарная сущность генов (или, точнее, КОГ, ортологичных эволюционных линий) лежит в основе всей исследовательской программы сравнительной геномики: сравнение геномов оказывается весьма информативным, несмотря на нетривиальные отношения между отдельными генами и геномами, обусловленные изменчивостью геномной архитектуры.
Жалоба
Напишите нам, и мы в срочном порядке примем меры.
Комментарии